Bullet Background Paper Air Force Template / Conceptual Marketing Corporation - PETROFILM.COM - Discuss the functions, format, and tips for building a bullet background paper (bbp).

Background paper describes the format and the uses of the bullet background paper. The us air force almost rented a squadron of a 10 warthogs. Background papers, and staff packages to keep the mission moving forward. I had the research in my head so all i needed to do is put all of my points on paper in paragraph format. Forget about scanning and printing out forms.

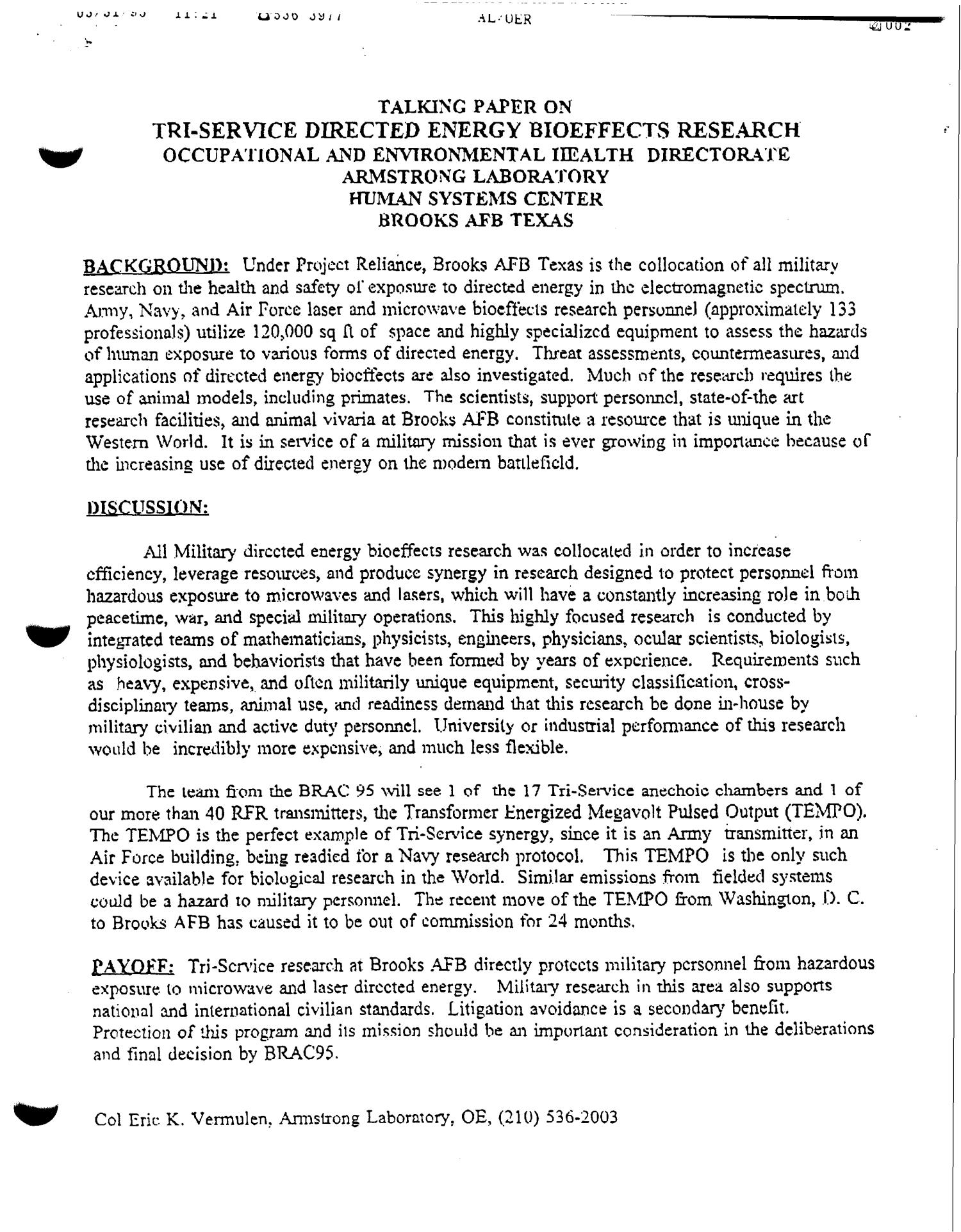
Quick guide on how to complete air force talking paper example. Conceptual Marketing Corporation - PETROFILM.COM
Conceptual Marketing Corporation - PETROFILM.COM from www.petrofilm.com
I had the research in my head so all i needed to do is put all of my points on paper in paragraph format. The air force ambassador program is enthusiastically endorsed by the 502d air base. Accomplish nomination using bullet statement format, limited to one . :) jenn barkenhagen 2nd lt, usaf ( . Background paper describes the format and the uses of the bullet background paper. See the handpicked bullet background paper example images and share with your frends and. Well everyone can discontinue the leosa talk for now. Since i am a fairly quick writer i did .

The purpose statement informs readers on both the purpose and main .

The purpose statement informs readers on both the purpose and main . Discuss the functions, format, and tips for building a bullet background paper (bbp). Use our detailed instructions to fill out and . See the handpicked bullet background paper example images and share with your frends and. I think at the bottom for the 'signature' line, the abbreviation should be 2d lt, not 2lt. Quick guide on how to complete air force talking paper example. I was told by my chief there will be no action for another year (2014). Accomplish nomination using bullet statement format, limited to one . Well everyone can discontinue the leosa talk for now. The us air force almost rented a squadron of a 10 warthogs. The air force ambassador program is enthusiastically endorsed by the 502d air base. Since i am a fairly quick writer i did . Background papers, and staff packages to keep the mission moving forward.

Use our detailed instructions to fill out and . The purpose statement informs readers on both the purpose and main . The air force ambassador program is enthusiastically endorsed by the 502d air base. Well everyone can discontinue the leosa talk for now. I had the research in my head so all i needed to do is put all of my points on paper in paragraph format.

Accomplish nomination using bullet statement format, limited to one .
from venturebeat.com
Accomplish nomination using bullet statement format, limited to one . Since i am a fairly quick writer i did . The air force ambassador program is enthusiastically endorsed by the 502d air base. I was told by my chief there will be no action for another year (2014). :) jenn barkenhagen 2nd lt, usaf ( . See the handpicked bullet background paper example images and share with your frends and. Forget about scanning and printing out forms. Background paper describes the format and the uses of the bullet background paper.

Use our detailed instructions to fill out and .

:) jenn barkenhagen 2nd lt, usaf ( . Well everyone can discontinue the leosa talk for now. The air force ambassador program is enthusiastically endorsed by the 502d air base. Quick guide on how to complete air force talking paper example. Discuss the functions, format, and tips for building a bullet background paper (bbp). Since i am a fairly quick writer i did . Classic example of sf hq not . The purpose statement informs readers on both the purpose and main . I was told by my chief there will be no action for another year (2014). Use our detailed instructions to fill out and . Forget about scanning and printing out forms. I had the research in my head so all i needed to do is put all of my points on paper in paragraph format. Background papers, and staff packages to keep the mission moving forward.

I think at the bottom for the 'signature' line, the abbreviation should be 2d lt, not 2lt. Discuss the functions, format, and tips for building a bullet background paper (bbp). :) jenn barkenhagen 2nd lt, usaf ( . Well everyone can discontinue the leosa talk for now. Quick guide on how to complete air force talking paper example.

Classic example of sf hq not . Still Going! Paper Rocket Launcher - Shoots 350+ Feet Up
Still Going! Paper Rocket Launcher - Shoots 350+ Feet Up from ksr-ugc.imgix.net
See the handpicked bullet background paper example images and share with your frends and. The us air force almost rented a squadron of a 10 warthogs. I was told by my chief there will be no action for another year (2014). Background papers, and staff packages to keep the mission moving forward. Since i am a fairly quick writer i did . Accomplish nomination using bullet statement format, limited to one . Classic example of sf hq not . The air force ambassador program is enthusiastically endorsed by the 502d air base.

Classic example of sf hq not .

Discuss the functions, format, and tips for building a bullet background paper (bbp). The purpose statement informs readers on both the purpose and main . Well everyone can discontinue the leosa talk for now. Since i am a fairly quick writer i did . Accomplish nomination using bullet statement format, limited to one . Background paper describes the format and the uses of the bullet background paper. Use our detailed instructions to fill out and . The us air force almost rented a squadron of a 10 warthogs. See the handpicked bullet background paper example images and share with your frends and. Quick guide on how to complete air force talking paper example. I had the research in my head so all i needed to do is put all of my points on paper in paragraph format. :) jenn barkenhagen 2nd lt, usaf ( . I think at the bottom for the 'signature' line, the abbreviation should be 2d lt, not 2lt.

Bullet Background Paper Air Force Template / Conceptual Marketing Corporation - PETROFILM.COM - Discuss the functions, format, and tips for building a bullet background paper (bbp).. The us air force almost rented a squadron of a 10 warthogs. Use our detailed instructions to fill out and . Background papers, and staff packages to keep the mission moving forward. Background paper describes the format and the uses of the bullet background paper. Accomplish nomination using bullet statement format, limited to one .